Impact pêche loisir rivière

Bonjour,

Est-ce que quelqu’un aurait quelques docs sur l’impact éventuelle de la pêche de loisir sur les petites ou moyennes rivières de 1er caté notamment sur les populations piscicoles. Cela peut-être au niveau des prélèvements, TLC, impact lachés bassine,…

Merci

@+

1 « J'aime »

Oui ça a été bien étudié. En gros, le prélèvement fait diminuer le nombre de poissons au delà de la taille légale de capture si tu compares un parcours pêché et une réserve.

Mais c’est logique parce qu’un poisson passé à la poêle à frire n’est plus dans la rivière.

Le nokill préserve les poissons adultes mais pour cela, il faut qu’il soit respecté à la lettre. Il suffit malheureusement d’un braco efficace sur un parcours pour annihiler les efforts des autres pêcheurs.

Fred

3 « J'aime »

j’avais bien cela en tête mais je n’ai rien trouvé de probant sur le net, est-ce que tu as des liens vers des études et autres ?

Merci

Salut Manu
Tu veux faire une étude pour ton aappma?

j’avais trouvé ça : Les empoissonnements en Wallonie : vers un nouveau paradigme ?

Choppe des résultats de pêches électriques sur des spots fréquentés, tu verras souvent que les efdecrifs s’effondrent après la maille.

Le plus désastreux,ceux sont les sports d’eaux vive ou des cohortes de pseudo écolos piétinent tous sur leur passage,comme le ruisseling le canyonning, j’en passe cet des meilleures… etc… etc… etc…

4 « J'aime »

Tout à fait d’accord avec toi

2 « J'aime »

Ok mais toujours pas de lien vers une étude

je sais pas si c’est ce genre d’études que tu recherches ?

1 « J'aime »

Salut,
il me semble avoir vu passer il y a 1 an ou 2 une étude faite en Haute-Loire/Forez ou département limitrophe postée par un membre sur des comparatifs de la sorte… Inventaire pisci sur un tronçon NK et comparaison amont/aval ou bv voisin.
à chercher sur les sites des fédé, ou leur envoyer un mail
A+

1 « J'aime »

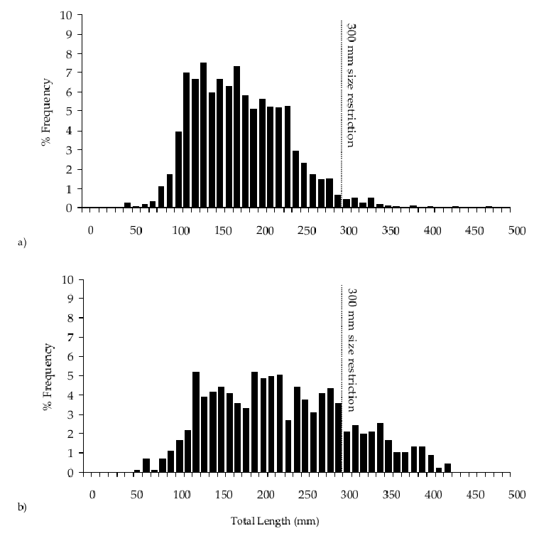
Je vais encore faire mon autopromo mais tout est expliqué ici avec les références kivontbien :

Notamment ça :

En a) la rivière avec taille légale a 30cm, en b) la rivière d’a coté en NK.

A+
J

2 « J'aime »

merci à tous pour ces infos je vais étudier tout ça.

J’ai une nouvelle petite question et je suis sur que les experts du forum pourront me répondre.

Lorsque j’examine divers PDPG réalisé par divers Fédé, je constate que dans les causes de mauvais état des rivières on a les barrages, step, espèce invasive, recalibrage,… Mais je n’ai pas vu que la pêche et ses divers conséquences possible (truite pisciculture, truite exotique, espèce, tlc, quantité poisson prélevé,…).

Est-ce que la pêche de loisir n’a pas d’impact ou négligeable ? Ou parce que c’est fait par une fédé pêche et elle va pas mettre en cause ses propres adhérents, pratiques,…Au risque de perdre des adhérents ? Ou bien c’est pas le sujets du PDPG ?

Merci

@+

1 « J'aime »

Oui pas d’impact.

A+
J

Bonjour,
L’augmentation seule de la TLC ne protège pas les gros spécimen bien sûr. Mais quid de la double maille? Est-ce qu’il y a des données sur cette stratégie?
Quant à l’absence d’impact de la pêche de loisir, je n’ai pas d’études en tête mais est-ce qu’il y en a qui ont évalué l’impact sur les populations de la mise en réserve de certains secteurs?
Bonne journée
David

Bonjour John,
Tes graphiques montrent le contraire puisque dans le premier cas les sujets le plus gros sont prélevés, il y a donc bien un impact de la pêche de loisir sur la répartition de la population de truite par classe de taille même si l’impact sur le nombre global ou la biomasse est négligeable voir nul.
Thymallus 10, tu peux trouver des résultats de pêche électrique sur le site Naïades:
http://www.naiades.eaufrance.fr/acces-donnees#/hydrobiologie
à +

1 « J'aime »

Moi j’ai quand même un peu de mal à croire que la pêche de loisir n’a pas d’impact sur les populations de poissons. Que se soit à cause des prélèvements qui ne dérange pas quand la rivières est en parfait état mais lorsque celle-ci est pas en super état, on rajoute, le réchauffement climatique,… Je ne penses pas que le prélèvement améliore les choses ? Cela ne fait que accélérer le déclin ou fait pencher la balance du mauvais coté ?

Comme le document belge, je m’interroge sur l’impact massive et sur une longue période de lâcher fario domestique.

Si ce n’est pour des raisons de $$$ Je ne vois trop pourquoi un pdpg ne prendrai pas en compte l’impact de la pêche de loisir sur la dégradation des milieux.

@+

Si la pêche de loisirs n’avait aucun impact sur les populations salmonicoles, comment se fait-il que les réserves en ville donc respectées comportent beaucoup plus de poissons que les autres portions de rivière. A St Jean Pied de Port la réserve en ville contient plein de poissons et à côté c’est quasiment le désert…

2 « J'aime »

Le PDGP est une émanation des instances piscicoles. Reconnaître un impact de la pêche de loisir sur les populations reviendrait à se discréditer totalement en reconnaissant implicitement que la gestion des populations n’est pas adaptée.

Cela s’apparenterait à de l’auto critique ce qui est impensable dans un document officiel.

Après il y a les impacts directs par les prélèvements ou la pression de pêche sur le milieu mais aussi, et tu as raison de l’évoquer les impacts indirects via la réchauffement climatique.

L’activité pêche, surtout lorsqu’elle engendre de longs transports jusqu’au lieu de pêche génère une quantité non négligeable de gaz à effet de serre. Si bien qu’à chaque voyage de pêche, le pêcheur enfonce un nouveau clou dans le cercueil des salmonidés sauvages.

Fred

2 « J'aime »

La question c’est pas de croire mais de démontrer, d’apporter des preuves. Dire que le prélèvement accélère le déclin c’est du domaine de la croyance.

La truite disparaitra avec ou sans prelevement, et a la même vitesse, celà ne changera strictement rien. On peut se bercer d’illusion et faire semblant que le NK va avoir un effet parceque celà va dans le sens de notre philosophie de la pêche. Pourtant le recul sur ça, les données scientifiques, les preuves sont univoques, les faits sont tétus : il n’y a aucun effet du NK sur la dynamique.

Bien sur on peut aussi croire que la lune est creuse et que Picasso a peint la Joconde. On peut croire a tout. Mais c’est faux… :pensive:

PS : J’ai pas compris la question sur les PDPG.

A+
J

3 « J'aime »